首页
声向标
主播圈
学播音
找主持
首页
>
声向标
>
详情
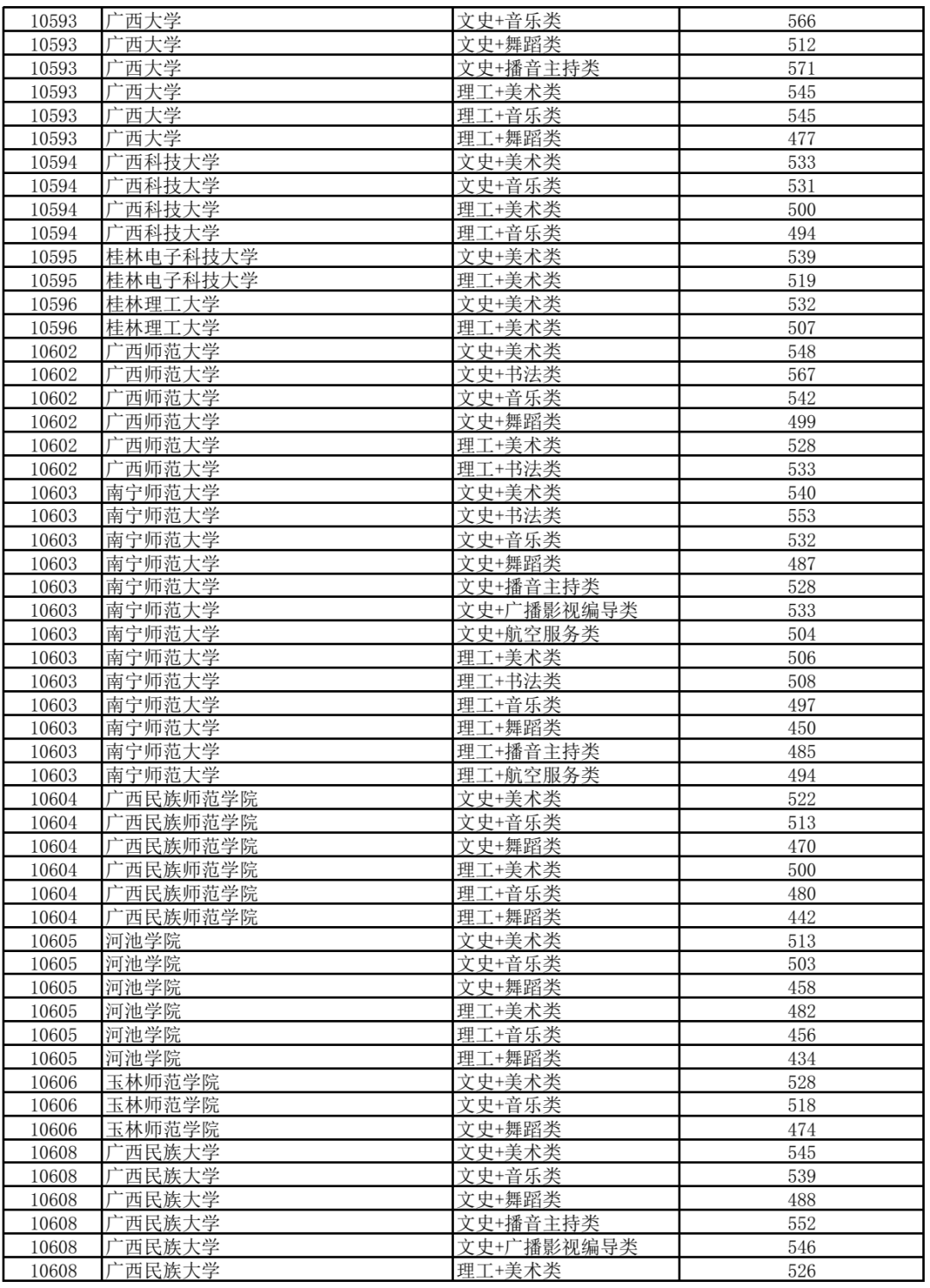
广西2023年高考本科提前批艺本二批最低投档分数线
2023-07-17 04:00
播音主持艺考网
艺考日常
说明:
1.综合分=总分(总成绩+加分分值)×40%+艺术统考成绩×(750/300)×60%。
2.表中空白处表示无相应科类招生计划或无出档考生。
3.北方工业大学:专业成绩不低于省统考合格线上20分。华侨大学:专业成绩不低于满分的70%,文化成绩不低于满分的45%。西南大学:高考文化投档成绩不低于广西普通本科文理一本批次线70%。暨南大学:录音艺术专业要求高考文化课成绩必须达到普通类专业第一批本科录取控制分数线。
☻
本文内
容来
源柳园清风
,
仅供交流学习,版权均归原作者所有
编辑:
月半
,编审:清欢
热度排行
关于印发山东省2024年普通高等学校艺术类专业招生工作实施方案的通知
艺考日常
武汉工程科技学院2024年艺术类报考指南
艺考日常
山东省2024年艺术类专业招生工作实施方案政策解读发布!
艺考日常
宁夏2024年普通高考补报名时间确认
艺考日常
北京考区2024年全国广播电视播音员主持人资格考试公告
考核考试
新疆考区2024年全国广播电视播音员主持人资格考试公告
考核考试
陕西考区2024年全国广播电视播音员主持人资格考试公告
考核考试
山西考区2024年全国广播电视播音员主持人资格考试公告
考核考试
今日头条
李莎旻子首次以簪花造型主持音乐盛典,主持中途突下大雨
从央视主持人到大学老师,张蕾步履不停,在耕耘中闪闪发光!
第十五届北京国际电影节开幕,主持阵容迎来年轻面孔
央视主持人张泽群首用养老卡,网友感慨时光匆匆,不敢相信!
龙洋泪洒现场,八分钟分享感动无数网友
主持人齐思钧自曝曾患双相情感障碍
参加央视主持人大赛如何脱颖而出?这份参赛锦囊请查收!
知名主持人梁田回应35岁不结婚